NEWS CENTER
When it comes to "black tech," many people might first think of Iron Man's armor or the Men in Black's neuralyzer. In reality, many seemingly ordinary items in our daily lives also conceal astonishing innovative technologies. These have long been deeply integrated into modern life and have become a part of our everyday existence, while the hidden technologies behind them often far exceed our imagination.

The image is from @Huawei Health
According to the "2024 Chinese Residents' Sleep Health White Paper" recently released by the Chinese Sleep Research Society, the average sleep duration of Chinese residents is 6.75 hours. Overall, Chinese residents face issues such as insufficient sleep duration and poor sleep quality. Unfortunately, many Chinese people have never truly experienced high-quality sleep. Particularly when it comes to choosing a mattress, many only focus on aspects like the absence of spring noise or odors, overlooking deeper needs such as whether the mattress offers moderate firmness and provides comfortable sleep support.
In the modern mattress research and development process, pressure distribution testing equipment plays a crucial role. As consumers' demands for sleep quality continue to rise, mattress manufacturers have begun to focus on developing technologies that can accurately assess mattress comfort and support. Pressure distribution testing equipment not only helps designers comprehensively understand how the mattress interacts with and supports the human body but also provides strong data support for the comfort, health benefits, and personalized customization of mattresses. Mattress design is not merely about material selection and appearance but also requires in-depth consideration of ergonomics and biomechanics to ensure the mattress maximizes comfort and provides effective support. Through precise pressure data and detailed pressure distribution maps, pressure distribution testing equipment helps designers optimize mattress firmness, material selection, and zonal support structures. This ensures that the mattress meets the needs of different body types and sleeping positions while also catering to personalized requirements, thereby guaranteeing the overall functionality and health benefits of the mattress.
The spine is the core of the human body's support system, and maintaining its natural curvature is key to sustaining healthy posture and preventing spinal strain caused by prolonged sleep. The supportiveness of a mattress must preserve the natural curve of the spine, avoiding excessive sinking or over-support. If the mattress is too soft around the waist, the spine may lose its natural curvature, leading to health issues such as lumbar spine diseases. Conversely, if the mattress is too firm, the spine may not fully relax, exacerbating back fatigue and discomfort. Pressure distribution testing equipment can measure pressure changes at the contact points between the mattress surface and the human body, helping designers understand the support conditions of different areas of the mattress. This allows for adjustments in firmness and thickness to ensure the spine receives proper support during sleep.

The image is from @DrDingxiang.
Moreover, different parts of the human body, such as the shoulders, hips, and knees, endure varying levels of pressure depending on sleeping positions. When lying on one's side, the shoulders and hips bear more pressure, so the mattress needs to offer adequate softness to avoid compressing blood vessels and nerves, thereby preventing poor blood circulation. For back sleepers, lumbar support is crucial. Pressure distribution testing helps designers analyze mattress performance in each sleeping position, ensuring that key areas receive just the right amount of support and comfort, thereby reducing pressure buildup and discomfort for the user.
This data-driven design approach significantly enhances mattress comfort, moving away from subjective designs based solely on traditional experience or personal feel. It ensures that every consumer can enjoy a comfortable and healthy sleep experience.
As consumers' demand for personalized sleep experiences continues to grow, customized mattress design has become increasingly important. Each individual has a unique body type, sleeping posture, health condition, and comfort preference, making standardized "one-size-fits-all" mattress designs inadequate for meeting all consumers' needs. Through precise data analysis, pressure distribution testing equipment can provide personalized mattress design solutions for each consumer.
For instance, by measuring an individual's weight distribution, sleeping habits, and firmness preferences, designers can tailor the mattress's firmness, materials, and zonal support structure to deliver optimal comfort and support based on individual needs. For elderly individuals, pregnant women, or consumers with specific health requirements, pressure distribution testing helps designers understand their pressure needs on the mattress, avoiding physical discomfort caused by inadequate support and enabling the creation of mattresses that meet these special needs. This tailored design approach effectively enhances the comfort and functionality of mattresses while also helping consumers improve sleep quality and boost their health and recovery capabilities.
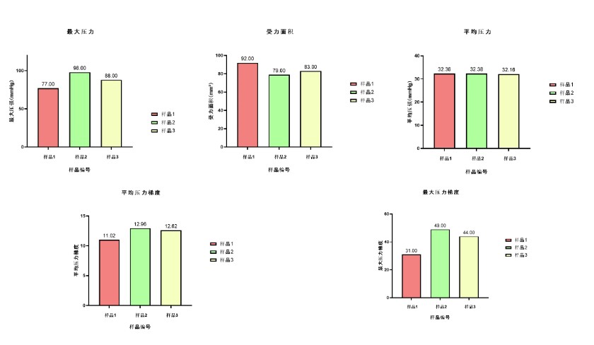
Taking baby mattresses as an example, to evaluate the comfort of three different types of baby mattresses, technicians from Shanghai Fengyou Biomechanics Laboratory used the Pressurefilms flexible fabric pressure distribution system to test relevant biomechanical data with a life-sized infant model. (Due to copyright restrictions, the testing subject is not publicly displayed.)
Through the Pressurefilms flexible fabric pressure distribution system, we can observe the pressure distribution of an infant lying on the mattress, clearly identifying the head, torso, and limbs.

The raw data, when processed with MATLAB, can be used to calculate metrics such as maximum pressure, contact area, average pressure, average pressure gradient, and maximum pressure gradient. Based on these five indicators, comfort evaluations can be conducted for various products like mattresses and pillows, helping to test and refine their designs to ensure they conform to body contours, provide effective support, and prevent spinal deformation in infants.

The Pressurefilms flexible fabric pressure distribution system employs flexible fabric pressure-sensing materials with a certain degree of stretchability. It is soft, comfortable, and breathable, allowing it to conform well to the surface or interior of products such as mattresses, chairs, and car seats. Additionally, the Pressurefilms system is bendable, capable of measuring pressure on curved surfaces, and resistant to gentle washing (excluding the PCB components). If accidentally exposed to water, the sensor will resume normal performance once fully dried.
With advancements in technology, pressure distribution testing equipment continues to evolve, becoming more intelligent and precise. Modern pressure distribution testing systems can integrate high-precision sensors, artificial intelligence, and big data analytics. They not only monitor the pressure performance of mattresses in real time but also provide design optimization suggestions based on data analysis. Leveraging these advanced technologies, designers can make more refined adjustments to each layer and material configuration of a mattress, ensuring every component functions to its fullest potential. In the future, as smart mattresses become more widespread, pressure distribution testing equipment will be more deeply integrated with adaptive technologies, enabling the development of smart mattresses that automatically adjust to changes in user weight, sleeping posture, and sleep states.

In addition to the mattress's inherent performance, its environmental adaptability is also a factor that cannot be overlooked. Modern consumers are increasingly concerned about whether a mattress can adapt to different environmental conditions, such as temperature and humidity variations, as well as comfort across different seasons. Pressure distribution testing equipment can be integrated with environmental sensors to evaluate mattress performance under varying conditions. For example, in high-temperature and high-humidity environments, changes in material compressibility may alter pressure distribution. Pressure distribution testing equipment can help designers identify these variations and adjust material selection and structural design to ensure the mattress maintains optimal support and comfort under diverse environmental conditions.
In summary, the application of pressure distribution testing equipment in mattress research and design holds profound significance. It not only makes mattress design more scientific and precise but also drives innovation and personalized customization in the mattress industry. Through accurate pressure data, designers can optimize mattress support and comfort based on biomechanical needs, ensuring the mattress delivers the best sleep experience for consumers with different sleeping postures, body types, and health conditions.
As technology continues to advance, the functions of pressure distribution testing equipment will become increasingly diversified, propelling mattress design toward higher precision and greater personalization. This progress will ultimately help consumers enjoy healthier and more comfortable sleep quality.
Recent Post
Contact Us
Derect Contact with us



